目前已知的灵芝种类有两百多种。种类不同,活性成分就不会一样,产生的功效当然也不相同。唯有确定原料,每一批产品的功效才能重现。以下文章为台湾大学许瑞祥教授以「轻身不老谈灵芝」为题,在2013年8月27日於台北六福皇宫饭店演讲的部分精彩内容。
主讲/许瑞祥 整理/吴亭瑶
◎本文摘要自2013年《健康灵芝》杂志第61期p. 36~45
「灵芝」的定义
吃灵芝前,要先搞清楚什麽是「灵芝」,如果各位错认灵芝、吃错灵芝,反而害了自己,也害了别人。
从外观来看,它是一种菇,有伞、有柄的菇。真正好的灵芝,长得就像中国传统的如意形状,象徵国泰民安。的确,也只有风调雨顺时,才能长出那麽漂亮的灵芝。
如果你要我说「灵芝的作用是什麽?」,我会说,它既是「培本固元」的食品,又有「养命应天」的效果。
最早一张灵芝的图像出现在《古今图书集成》里,而最早关於灵芝的文字记载则始於周朝时期的《列子》:「朽壤之上,有南芝者。」
公元两百年前後的《神农本草经》,里面写道:「山川云雨,四时五行,阴阳昼夜之精,以生五色神芝。」明确指出有五种颜色的灵芝。
宋朝《重修政和经史证类备用本草》则首次提到,有青、赤、黄、白、黑、紫六色灵芝,此说法到了明代《本草纲目》仍继续被采用。
古代人这样的描述,为现代人留下很大的问号,到底什麽是六色灵芝?古书记载没有样品可供比对,只有图。但不管怎麽说,红色灵芝和紫色灵芝,是目前药典上确实存在的药材,至於其它颜色的芝指的是什麽,则还需更多的研究。
在现代生物学上的分类,对於「灵芝属」有很严格的定义。它的特徵是,有排列很紧密的表皮,上面有一层水溶性的蜡,光线照射下会反光,所以它是表面会发亮的菇,就像一把可以遮雨的油纸伞。
至於这朵菇是不是「灵芝属」,则必须看它是不是有一个「不对称卵圆形的黄褐色担孢子」,以孢子形态作为监定灵芝的依据。

灵芝的表皮是由排列紧密的栅栏状菌丝所组成,上面有一层水溶性的蜡(右图),
此为灵芝表皮会发亮的主因(左图)。(提供/许瑞祥)

一朵菇是不是「灵芝属」,则必须看它是不是有一个
「不对称卵圆形的黄褐色担孢子」。(提供/许瑞祥)
灵芝有很多种,你吃的是哪一种?
这八种灵芝,包括树舌灵芝、拱状灵芝、小孢子灵芝、灵芝、松杉灵芝、热带灵芝、紫芝、新日本灵芝等,都是在台湾很容易找到的灵芝种类。
想想看,光在台湾,灵芝就有这麽多种,全世界这麽大,会有多少种灵芝?
从分类学来看,目前已知的灵芝种类就有两百多种,所以当人家拉你去吃灵芝时,请先搞清楚你吃的是什麽灵芝。
像是号称「千年灵芝」的猴板凳,其实并非灵芝,而是「拟层孔菌属(Fomitopsis)」的真菌。它长在树的上面,很大一块,常被森林里的猴子当板凳坐而得名,但真正的灵芝不会长在那麽高的位置,而是长在树下靠近地面附近。
另一个常令人混淆的是「假芝」(Amauroderma rugosum),它烘乾後是灰黑色,常被混充为「黑芝」贩售,但它也不是灵芝。
再来是牛樟菇(或称牛樟芝,学名:Antrodia cinnamomea),它也不是灵芝。灵芝不论在东、西方的文献记载,还是人类的食用经验,在安全性和功效性上都有很严格的规范与记载。至於牛樟菇,则有太多问号存在,它正式发表於1995年,还有很多未知等待厘清。

红色灵芝很多种,成分、功效各不同
过去大家都以为,Ganoderma lucidum就是「赤芝」的学名,其实是不对的。原本我们在用的赤芝,写着同一个学名,效果一大堆,外国人就觉得怪,怎麽可能有一个东西有这麽多成分和作用?
三十多年前我到不同的农场,就发现有的赤芝长这样、有的赤芝长那样,虽然都被叫作「Ganoderma lucidum」,但长得并不像。经过生物形态、孢子结构、生理特性、生化分析与遗传试验等各方面的比较後,证明它们真的不是同一物种。我的博士论文就是在写这件事。
後来我们还用基因特徵,把所有可以取得的红色灵芝一一比对,结果发现,中文文献中的「赤芝」,除了G. lucidum,还包含松杉灵芝等等很多种。
因此各位在选择灵芝时,必须审慎了解它到底是用什麽「种」种出来的。这不是「赤芝」两个字可以解决的,因为赤芝包含的是「一群」外观为红色的灵芝,可能是甲、乙、丙、丁……至於它们是不是同一种,不是仅凭外观形态就能轻易辨认,因为灵芝在生长时,环境会影响颜色与形状。
过去四十年科学研究证实,红色灵芝对於中枢神经系统、心血管系统、呼吸系统、免疫系统、肝脏、耐受急性缺氧、抗过敏、抗衰老、抗病毒……..等很多方面都有作用,绝对无庸置疑。唯一的问题是,这些研究成果在写他们所用的灵芝材料时,百分之九十以上都是写G. lucidum,但实际上,他们用的可能是松杉灵芝,或其它红色的灵芝。
换句话说,灵芝的这麽多作用,其实是多种红色灵芝的总合。
当你要在使用材料、活性成分、生理作用三方面做连结时,如果使用的材料不确定,後面的研究要再复制、重现,就会很困难;开发产品时,你的产品是保肝,还是护心,也必须选对材料、确定材料,一旦材料不确定,那麽每一批做出来的产品功效和品质也难以延续下去。
不同种的灵芝
有不同比例的活性成分
众所周知,「高分子多醣体」是灵芝的主要成分之一,不过到目前为止,科学家还搞不太清楚,它长得是什麽样子,只能说,它是分子量(十几万到几百万)非常大的糖聚合物。
现在科学家看灵芝多醣,就像雾里看大象一样,只看到象头、象尾,还看不清它真正长什麽样子。但知道它是有用的,可以提升免疫、抗肿瘤,是灵芝里最容易萃取出来研究的成分。
另一类灵芝的主要成分是三萜类,因为从灵芝来的,所以又叫作灵芝酸。它们最早被发现有抗过敏、促进肝脏功能……等很多作用。另外还有小分子的核苷酸与蛋白质。
以上这些都是从灵芝里可以萃取到的活性成分,只是它们在每种灵芝里的分布比例不一样。
灵芝多醣作用像钥匙
启动免疫机制抗肿瘤
灵芝多醣的结构与淀粉不同,虽然它们的主要结构都是由众多葡萄糖一个一个连接起来的,但前者是第一个碳接第三个碳〔β(1-3)葡聚醣〕,後者是则是第一个碳接第四个碳〔α(1-4)葡聚醣〕。
因为结构上的关系,淀粉吃下去後,从口腔开始被分解,到肠道时已经变成单糖或双糖,但灵芝多醣却是无法被人体消化分解。
1980年代日本静冈大学水野卓教授在探讨「灵芝多醣为什麽会抗肿瘤」时就发现,灵芝多醣本身不会直接杀癌细胞,它的作用就像一把钥匙,会启动免疫系统的机制攻击癌细胞,这就是所谓「扶正固本」的作用。
经过最近十几年的探讨,现在我们已经知道,灵芝多醣可以透过什麽途径把讯息送到免疫细胞里面,再去启动相关的免疫细胞发挥作用。透过这些细胞讯息的研究,我们也愈来愈清楚,灵芝多醣对於免疫系统的调控,的确有很重要的关键地位。

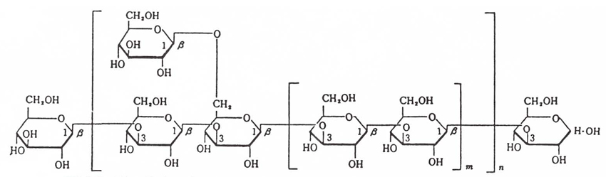
具有抗肿瘤活性的灵芝多醣结构。
(资料来源/许瑞祥着,2010灵芝概论)
灵芝多醣不会直接杀癌,而是提升免疫系统抗肿瘤的能力。(提供/许瑞祥)

健康灵芝第30期:多醣体≠活性多醣。
不同来源的三萜无法比较
少了三萜的灵芝不再完整
三萜类(灵芝酸)的种类很复杂,有很多不同的构型,根据目前的文献统计,从红色灵芝取得的三萜类,林林总总加起来超过两百种,这正是为什麽灵芝会有这麽多效果的原因之一。
我要特别强调,三萜类常常会出现在其它产品的广告里,被强调它含量有多高、有多好。各位再想一想,动物园里的那个「圆仔」,和我们大家喜欢吃的那个「圆仔」,名字一样,但却是两个完全不同的东西。
同样的,牛樟菇的三萜类含量有多高,也和灵芝三萜类八竿子打不着。有「三萜」构形的化合物都叫三萜类,但是不同来源的三萜类,构造有差别,功效也差很多,当然无法在「量」上作比较。就像都叫圆仔,「一只」和「一碗」怎麽比啊?
这也是我们要特别把灵芝三萜类称为「灵芝酸」的缘故,代表它来源的独特性。而灵芝酸的作用,有的可以保肝,有的可以直接杀癌细胞,还有抑制组织胺的释放(抗过敏)、抑制胆固醇合成、抗发炎……等等,其中关於灵芝酸抗癌的研究论文,更是多不胜数。
第47期《健康灵芝》的主题就在讲,没有三萜类的东西就不能叫灵芝。这对於只卖多醣体的公司或许非常感冒,但不全就是不全。多醣体可以促发炎,三萜类可以抗发炎,所以一个完整的灵芝产品一定要有多醣和三萜维持平衡。
具有抗肿瘤活性的灵芝三萜(灵芝酸A)结构。
(资料来源/许瑞祥着,2010灵芝概论)

健康灵芝第47期:不能没有三萜类。完整的灵芝,才有完整的功效。
可以单一量产的小分子蛋白
低浓度就有抗癌作用
小分子蛋白(又名免疫调节蛋白)是在1989年由日本学者Kino在灵芝菌丝体里发现,它的分子量很小,只有一万多,可以促进淋巴细胞增殖。
现在的生物技术已经有能力可以单独生产这个蛋白质,它的结晶立体构造也已经清楚了,後来的研究也发现,它有调节免疫功能、抑制过敏反应、调节血糖等作用,甚至还能抗肺癌,而且只要很低的浓度就有作用──把它用在接种肺癌细胞的裸鼠身上,每公斤体重只要几毫克就有抑制效果,已经成为蛋白质药物开发的新标的。

健康灵芝第41期:灵芝免疫调节蛋白,调出你的好免疫。
延伸阅读
〔台大教授许瑞祥-演讲精选4〕灵芝为什麽能轻身不老?
〔台大教授许瑞祥-演讲精选5〕灵芝是「食物」还是「药」?
〔台大教授许瑞祥-演讲精选7〕其实每个人都需要灵芝

