众所周知,灵芝三萜类是灵芝主要的活性成分之一,不过你可曾想过,为什麽灵芝要产生并且累积三萜类呢?有一说是为了抗周边杂草,以利在自然界生存。有趣的是,这类为了有利灵芝生存而存在的物质,因为化学结构的关系,竟能对人体发挥有益健康的作用......本文对灵芝三萜类的结构变化与活性来源有深入浅出的解析。
文/苏庆华
◎本文原载於2006年4月《健康灵芝》第32期 42~44页
三萜类属於脂质(lipid)的一种,是某些生物合成之化学物质,以 30 个碳之碳氢原子组成之「三萜(triterpenes)」或含有氧原子之「类三萜(triterpenoids)」。这些物质为什麽叫三萜?因为萜(terpene)这个字元而来。
自然界中有许多化合物是以单萜(monoterpene,10 碳)、单半萜(sesauiterpene,15 碳)、双萜(diterpene,20 碳),以及三萜(treterpene,30 碳)存在。也就是说,单萜是10个碳的化合物,双萜则是由 2 个单萜合成,而三萜则是由 3 个单萜合成。
至於萜(terpene)这个字又是什麽意思?terpene 也翻译成「松烯」,是由terpentine(松脂)而来,因为化学家早期研究针叶树之精油(essential oil),发现松脂挥发之香气主要化合物便是萜类所组成。
「萜」是如何产生的?
然而「萜」又是从哪里来的呢?10 个碳之萜类在生物体中是由两个 5 碳的mevalonic acid连结而成,而mevalonic acid则经由mevalonic acidpathway以 2 碳之乙醯辅酶(acetyl-CoA)合成。因此,三萜之合成过程可以这麽表示:
2C × 3 → 6C-5C → mevanolic acid
5C × 2 → 10C单萜;5C × 3 → 15C单半萜;
10C × 2 → 20C双萜;10C × 3 → 三萜
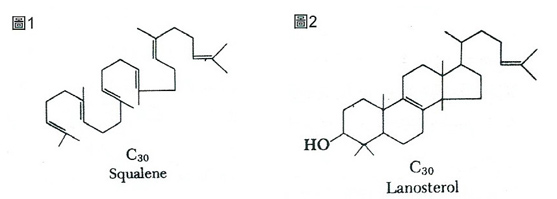
生物体内在完成 30 碳的合成工作之後,经常会将三萜类环化,也就是将原来具有分支之碳链组成六角(图 1)或五角(图 2)之环状构造。而灵芝,尤其是子实体,更由 lanosterol(羊毛脂固醇,实际上是一种三萜)发展出许许多多不同的三萜(图 3、图 4),其中具有四环且在第 26 碳上有一个酸基(-COOH)是灵芝三萜最常见的形式。


三萜又与另一种我们熟知之物质构造极为类似,那就是固脂类(steroids)或固醇(sterols),而实际上固脂或固醇就是由三萜衍生而来的,例如 27 个碳的胆固醇(cholesterol)、谷固醇(β- sitosterol)、28 个碳的麦角固醇(ergosterol)分别广泛存在於动物、植物及真菌界。此外,许多性荷尔蒙、维生素 D,以及心脏毒素也都是从三萜衍生而来的。
我们将三萜类作为基础物质,去除一些侧链,再加上一些官能基,就有无限的物质会形成。例如三萜(图 5)去掉红色的三个甲基後,就成为麦角固醇了(图 6)。在灵芝中的三萜不一定会保持 30 个碳,因为修饰持续进行会切除部分尾链成为 27 个碳或 24 个碳的分子。

在人体内,胆固醇会去除部分侧链再进行氧化,成为雌性荷尔蒙 estrone(图 7)及 estradiol(图 8)。类似的反应也会生成雄性荷尔蒙,如 androsterone(图 9)及睾固酮(testosterone,图 10)。


雄性荷尔蒙使男性发展出第一性徵,并且促进冗肉骨骼之发展及强度,因此成为冷战时期运动选手夺金之利器。例如以下两种合成药物称为同化性类固醇(anabolic steroid,图 11、12),比体内自然形成的雄性荷尔蒙具有更强的功能。
以上说明生物体会利用简单较小的分子,合成大而复杂之构造,并加以修饰,成为具有功能性之成分,在体内进行生理反应。科学家甚至能经由化学合成,发展出功能更强的药物。
灵芝三萜类的活性来源
灵芝是一种十分特殊的真菌,尤其在子实体中完成三萜类之初步架构後,并不会像其他真菌完全将三萜类转化成麦角固醇,而是将三萜类大量累积,同时进行氧化、还原、甲基化、乙基化、转移不饱和键结位置等修饰工作,成为极多様性之构形,到目前为止经正式发表的灵芝三萜类有将近 200 种之多。
灵芝三萜类已知之生理活性包括:保肝、抗肿瘤、降血脂、抗过敏、抑制蛋白水解酶、抑制5-α还原酶(5 alpha-reductase)等活性,显示灵芝三萜具有多様性之角色。实际上也是因为灵芝三萜类之多様性,这些构形众多的分子很可能与酵素或受体结合而改变生理反应。
这种假说应该由灵芝在自然界中产生三萜类之可能原因说起。灵芝为什麽要产生并且累积三萜类?很可能三萜类本身就是植物的毒素,用来对抗周遭杂草。
(一) 对分解性的酵素具有抑制功能
台大园艺系郑正勇教授很多年以前做了一个实验,将灵芝酒精萃取物(主要成分为三萜类)加一点到正在发的蔬菜种籽中,结果发现种子都不发芽了。这显示三萜类很可能抑制了发芽所需要的酵素而导致发芽失败,也就是说,三萜类对一些分解性的酵素具有抑制功能。
这个说法也在我们的实验中得到印证,同时日本学者也发现三萜类可抑制爱滋病毒HIV所产生之蛋白水解酶。
(二) 利用构造类似性与胆固醇竞争
此外,三萜类与我们体内之胆固醇构造有类似之处,因此可能与之竞争而降低血脂。而三萜类与类固醇之类似性也可能嵌入细胞膜中,改变肿瘤细胞之性质。不过上述这些假设还要进一步证实。
至於三萜类进入人体後会不会成为性荷尔蒙之前驱物,使荷尔蒙增高?目前尚无此类报告。只有日本学者发现两种灵芝三萜类会抑制 5-α还原酶的活性,非常可能是灵芝三萜类与 5-α还原酶有很高的亲合性,此酵素能催化睾固醇转化成去氢睾固酮(dehydrotestosterone)。过量的去氢睾固酮是摄护腺癌之主因,抑制此酵素可提高摄护腺癌的治癒率。
(三) 与类固醇之关系
在器官移植时来当作免疫抑制,或作为自体免疫疾病治疗,甚至作为改善气喘之类固醇常用药物,例如 21 个碳的 prednisone(图 13)在体内也可能代谢成睾固酮(C19),因此会产生同化性固醇之副作用。

灵芝三萜类曾被报导能稳定肥大细胞、抑制组织胺释出,进而缓解气喘。从化学结构来看,灵芝三萜类与类固醇有类似性,因此灵芝三萜类的抗过敏活性很可能来自部分取代类固醇,但无类固醇转化成睾固酮之缺点。
类固醇除了免疫抑制效果之外,也会加速身体新陈代谢的进行,部分转化成雄性荷尔蒙,促进外观的雄性化,这就是为什麽长期大量使用类固醇会使病人出现月亮脸、水牛肩等副作用。
所幸至目前为止并没有报告指出灵芝三萜类有类固醇的副作用,毕竟它们在结构上还是有不一様的地方,加上类固醇是纯化的化合物,作用极强,而灵芝三萜类则包含多种化合物,可能因为彼此的互相制衡,而避免负面的作用。当然上述关於三萜类与类固的关系,还需要更多的研究证实。
小结
总之,灵芝三萜类种类繁多,想要知道每一种三萜类之功能,需要花很长时间、人力及物力的投入,所幸近年来学界对灵芝三萜类逐渐重视,我们也期待有更多学者投入此一复杂而有趣之研究。
延伸阅读
1. 〔苏庆华谈三萜〕多样的化学构型,造就灵芝三萜类丰富的生理活性
2. 〔苏庆华谈三萜〕灵芝菌丝体是否含有三萜类?
3.〔苏庆华谈三萜〕灵芝酸B及C2在各种灵芝中之含量