灵芝三萜类的种类非常繁多,是灵芝之有多种功能的主要关键,而三萜类丰富的生理活性,又与其多样的化学构型密切相关。灵芝三萜类其实包括了「三萜」和「类三萜」,它们的化学结构各有什麽特色?如何生成?为何如此多变?以及为何存在?已知有哪些功能?以下文章将有详细解说。
文.图/苏庆华
◎本文原载於2010年7月《健康灵芝》第47期 6~11页
什麽是「三萜」?
三萜属於脂质(Lipid)的一种,是指某些生物合成的化学物质以30个碳的碳氢原子组成之「三萜(triterpenes)」,或是含有氧原子的「类三萜(triterpenoids)」。
这些物质为什麽叫「三萜」?主要是从「萜」(terpene)这个字元而来。自然界原本就有许多化合物是以单萜(monoterpene,10碳)、单半萜(sesquiterpene,15碳)、双萜(diterpene,20碳)和三萜(Triterpene,30碳)存在,亦即「单萜」是10个碳的化合物,「双萜」是由2个单萜合成,而「三萜」则是由3个单萜合成。
「三萜」是怎麽来的?
至於三萜的「萜(terpene)」这个字又有什麽意思呢?terpene也翻译成「松烯」,是源由terpentine(松脂)而来,因为化学家早期研究针叶树的精油(Essential oil)发现,松脂挥发的香气,其主要化合物即由萜类所构成。
至於「萜」又是从哪里来的呢?无论单萜、单半萜、双萜或三萜,都是由一个单元分子所产生的,这个分子叫做「甲羟戊酸(mevalonolic acid)」。在高等真核生物和很多病毒中,都具备这种生物合成的途径,也就是所谓的「甲羟戊酸途径(mevanolate pathway)」。这个途径也叫「异戊二烯焦磷酸途径 (isoprenoid pathway)」,是以「乙醯辅酶A」为原料,合成「异戊二烯焦磷酸」和「二甲烯丙基焦磷酸」的一条代谢途径。
10个碳的单萜类,在生物体中是由两个5碳的「异戊二烯焦磷酸」连结而成,而「甲羟戊酸」则经由此一途径,以2碳之「乙醯辅酶(Acetyl-CoA)」合成。因此,三萜的合成过程可由以下方式表示:
乙醯辅酶(2碳)× 3 = HMG-CoA(6碳)
HMG-CoA(6碳)-1碳=甲羟戊酸(5碳)→异戊二烯焦磷酸(5碳)
2个异戊二烯焦磷酸(5碳 × 2)=单萜(10碳)
3个单萜(10碳 × 3)=三萜(30碳)
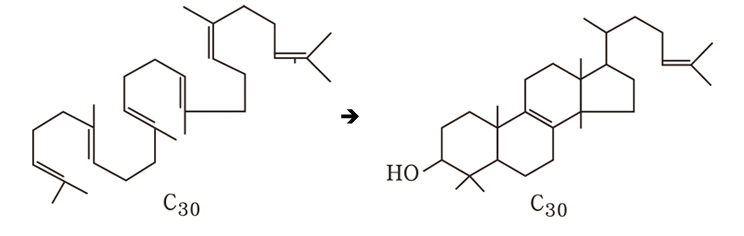
生物体内在完成30碳的合成工作後,仍是一种直链状的构造,叫做「蛟鲨烯(squalene)」,蛟鲨烯在鲨鱼肝脏中大量存在,最近也被拿来当作为抗老化的保健食品。
蛟鲨烯是一种三萜,在正常途径下会继续代谢并加以环化,也就是将原来具有分支的碳链,组成六角和五角的环状构造成为「羊毛脂固醇」(lanosterol,实际上就是一种三萜),如图一。羊毛脂固醇是一种具代表性的产物,也是所有环化三萜和固醇的来源。

图一 蛟鲨烯(squalene,左)与羊毛脂固醇(lanosterol,右)的化学结构
以上叙述了三萜的定义与合成经过,但是大家可能会被这些化学名词搞得「雾煞煞」,所以我们再用卡通图来说明。
最开始3个由呼吸作用大量产生的「乙醯辅酶」(2碳)用手、脚、头作为比喻,形成一个6个碳的HMG-CoA,再去掉一个碳成为三萜的基石,也就是5个碳的「甲羟戊酸」。甲羟戊酸会经过两次磷酸化成为「异戊二烯焦磷酸」,异戊二烯焦磷酸成为具有两只手的分子,手与手前後相连就可以接成单、单半、双或三萜。
图二例举的三萜类即是蛟鲨烯。蛟鲨烯将经历一次革命性的重大变革,在环化酵素作用下完全改变了这个分子的特性,也因此,笔者把羊毛脂固醇转换成一只有眼睛、身体、四肢、尾巴的宠物,表示赋予三萜多彩多姿的性质(图三)。

图二 「蛟鲨烯」形成过程的卡通假想图

图三 「羊毛脂固醇」形成过程的卡通假想图
类三萜,还是三萜类?
本文一开始就提到,带有氧原子的三萜叫做「类三萜(triterpenoids)」,这个过程叫做「加氧(oxygenation)」。三萜基本上只由「碳」与「氢」两种原子所构成,三萜经过加氧酵素而修饰成「类三萜」。也就是说,从羊毛脂固醇开始,「三萜」就胎换骨成为「类三萜」了,但传统上还是将只有一个氧原子的「类三萜」归於「三萜」。
然而「加氧」到底有什麽意义? 很简单,就是在改变分子的亲水性,形成官能基,进而改变类三萜的功能。因此,加一个氧、两个氧、三个氧、四个氧??,都会造成不同的分子性质,而且加氧的位置也会改变类三萜的构型,类三萜於是在一个基本架构下衍生出多元性,进而从羊毛脂固醇,转化成各式各样的类三萜。
我们再以卡通图呈现假想的构型(图四),图中各种类三萜看起来似乎差不多,但彼此的性质已经迥异。由於加氧的关系,这些官能基可以是醇基(-OH)、酮基(=O)或酸基(-COOH)等。图4仅举一些类三萜的构型,已知的类三萜可能有数千种之多。
至於我们常提到的「三萜类」,化学名词中似乎没有这样的称谓,但在观念上,或许可以想成就是「三萜」及「类三萜」的总称吧!

图四 各种「类三萜」的卡通假想图
三萜类与固醇的关系
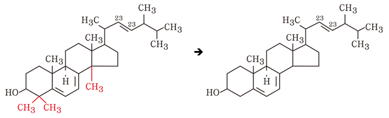
三萜又与另一种我们熟知的物质构造极为类似,那就是「固醇(sterols)」和含氧原子之「类固脂(steroids)」。实际上,固脂或固醇就是由三萜衍生而来,例如27个碳的胆固醇(choleterol)、谷固醇(β-sitosterol)、麦角固醇 (ergosterol),分别广泛存在於动物、植物和真菌界。
许多性贺尔蒙、维生素D和心脏毒素,也都是从三萜衍生而来的。我们将三萜做为一个基础物质,去除一些侧链再加上一些官能基,就会有很多物质形成(如图五)。也就是三萜去掉红色的三个甲基後,即成为麦角固醇了。
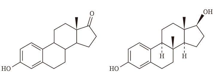
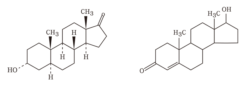
在灵芝中,三萜类不一定保持30个碳,会因为修饰持续进行而切除部分尾链,最後形成27个碳或24个碳的分子。在人体内,胆固醇会去除部分侧链,再进行氧化,就成为雌性荷尔蒙(也称雌激素)estrone(图六左)和estradiol(图六右);类似的反应也会生成雄性荷尔蒙(也称雄性激素),如androsterone(图七左)和testosterone(图七右)。

图五 三萜去掉红色的三个甲基後,即成为「麦角固醇」

图六 雌性荷尔蒙estrone(雌酮,左)与estradiol(雌二醇,右)的化学结构

图七 雄性荷尔蒙antrosterone(雄酮,左)和testosterone(睾固酮,右)的化学结构
以上说明生物体会利用简单较小之分子,合成大而复杂之构造,并加以修饰成为具有功能性的成分,进而在体内进行生理反应。至於为什麽要讨论固醇及类固醇,是因为三萜及类三萜在构型上都有四个环,在人体内很可能互相竞争或取代,进而改变生理功能,而且灵芝子实体中也有许多种固醇。同样的,我们也尝试以卡通图来显示固醇的构型(图八)。

图八 固醇(sterols)的卡通假想图
各位读者可以发现,固醇及类固醇都比三萜少了牙齿以及中下鳍,体型也比较小,同时在尾巴、眼睛及头饰都有差别,这显示出这类物质具有丰富的多样性。
而其中副肾皮脂素(4号)具有降低免疫反应、抗发炎、抑制蛋白质合成等活性,是过敏和气喘常用的药物;而雄性激素(7号)则为同化性类固醇,是运动员的禁药,会造成月亮脸、犀牛肩等副作用。这也说明了,微小的构造改变就会造成完全不同的功能,不过灵芝三萜和固醇并不包含此类作用。
灵芝三萜类
灵芝中,尤其是子实体,主要是由羊毛脂固醇发展出许许多多不同三萜,例如图九所表示的化学结构,也就是具有四环且在第26碳上有一个酸基(-COOH),这是灵芝类三萜最常见的形式。

图九 纯化的「灵芝三萜」化学结构图
灵芝是一种十分特殊的真菌,尤其在子实体中完成三萜之初步架构後,不像其他真菌会完全将三萜转化成麦角固醇,而是将三萜大量累积,同时进行氧化、还原、甲基化、乙基化、转移不饱和键结位置等修饰工作,进而形成极多样性之构型。截至目前为止,已经发表由灵芝属中分离监定的三萜和类三萜成分,将近有200种之多。
灵芝三萜类目前已知的生理活性包括:肝脏保护、抗肿瘤、降血脂、抗过敏、抑制蛋白水解脢、抑制5-α还原酶(5alpha-reductase)等活性,显示灵芝三萜类具有多样性之角色。实际上也因为灵芝三萜类之多样性,这些构型众多的分子,很可能与酵素或受体结合而改变生理反应。这种假说应该由灵芝在自然界中产生三萜类的可能原因说起,亦即灵芝为什麽要产生并且累积三萜类?很可能这些三萜类本身就是植物的毒素,可以用来对抗周遭的杂草。
多年以前,台大园艺系郑正勇教授做了一个实验,检验灵芝是否可当作天然杀草剂使用。他将灵芝酒精萃取物(主要含有三萜类)加一点到正在发芽的蔬菜种籽中,结果发现种子都不发芽了。这显示,三萜类很可能抑制了发芽所需的酵素,而导致发芽失败。换句话说,三萜类对一些分解性的酵素具有抑制功能,这个说法也在我们的一些实验里获得印证,
同时日本学者也发现,灵芝三萜类亦可抑制爱滋病毒HIV所产称的蛋白水解酶。另一种可能的功能是,三萜类与我们体内的胆固醇构造有类似之处,因此可能与之竞争,进而降低血脂及其他相关之生理反应;同时,三萜类与胆固醇之类似性也可能嵌入细胞膜中,进而改变肿瘤细胞之性质。这些假想也都需要进一步证实。
至於三萜类进入人体後会不会成为性荷尔蒙的前驱物,使荷尔蒙增高?目前尚无此类报告,只有日本学者发现两种灵芝三萜会抑制「5-α还原酶(5-alpha-reductase)」等活性,非常可能是灵芝三萜与5-α还原酶有很高的亲合性,此一酵素催化「睾固酮(testosterone)」转化成「去氢睾固酮(dehydrotestosterone)」,过量的去氢睾固酮是前列腺癌之主因,能抑制此酵素可增加前列腺癌治疗的机会。
综合已知的功能和最近的研究显示,灵芝三萜类将可能成为癌症补助治疗的有效成分。例如:灵芝酸DM是一种α-还原酶之抑制剂,对前列腺癌统合疗法将有实质的助益;以TPA在Raji cells引起的癌症反应,多种灵芝酸及灵芝固醇均有抗癌症反应;灵芝酸Me可诱发NK细胞产生IL-2和IFN-γ,进而发挥抗癌功效。
此外,本研究室最近也比较灵芝酸和灵芝醇对骨癌细胞的毒性,结果显示,灵芝醇在100mg/ml即可毒杀骨癌细胞,若同时与amphotericin B(具有制菌或杀菌作用的抗霉菌剂)共用,则毒杀作用更为明显。
总之,灵芝三萜类的种类非常繁多,想要知道每一种三萜类的功能需要很长的时间和人力物力的投入,所幸近年来科学界对灵芝三萜类逐渐重视,我们也期待有更多学者投入此一复杂且有趣的研究。

三萜类的分析方法
三萜类分析除了HPLC外,以TLC(薄层色层分析)是最快速之分析方法,
可以由颜色指纹来判断灵芝的种类,以及各种不同灵芝酒精萃取物的结果。
延伸阅读
1. 〔苏庆华谈三萜〕从化学结构看灵芝三萜类的生理活性
2. 〔苏庆华谈三萜〕灵芝菌丝体是否含有三萜类?
3.〔苏庆华谈三萜〕灵芝酸B及C2在各种灵芝中之含量