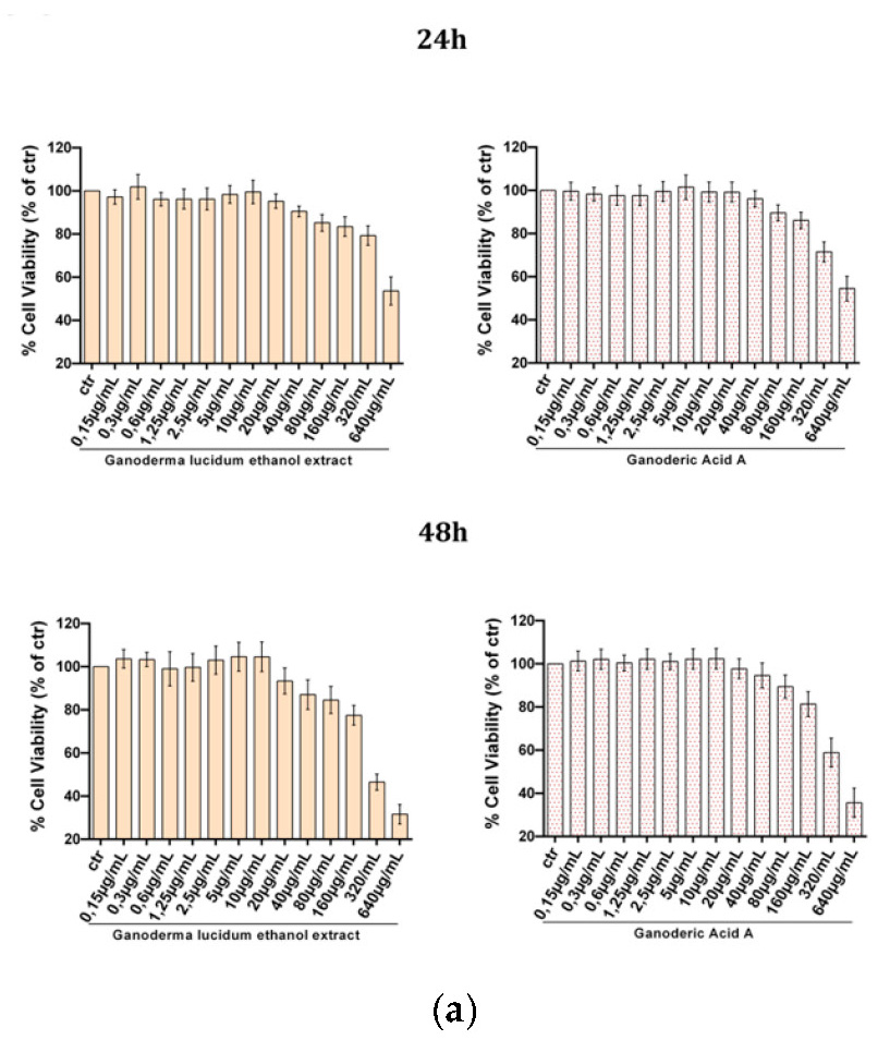
研究结果(図1に参照)によると、霊芝子実体のエタノール抽出物(30种类以上のトリテルペンを含有するGanoderma Lucidum Ethanol Extract)または霊芝酸A(Ganoderic Acid A、当抽出物の定量指标成分)が高浓度时のみ、细胞生存率に影响を及ぼすことが判明しました。つまり、霊芝子実体のエタノール抽出物は、人のケラチノサイトに使用しても安全性が高いと考えられます。また、霊芝酸Aは定量指标成分として、适していることも判明しました。
文/周禹晴、许嘉玲 中文版/请连结

人のケラチノサイトを5ug/mLと10ug/mLの霊芝子実体のエタノール抽出物と一绪に培养すると、1?2日経过後にも细胞の増殖を促进させることが确认されましたが、霊芝酸Aで培养するケラチノサイトではこのような効果は见られませんでした。つまり霊芝子実体のエタノール抽出物は、人のケラチノサイトの増殖を促す効果があります。それは霊芝酸Aからの作用、もしくはそれ以外の多种のトリテルペンが総合的に作用した结果も考えられます。


図1 霊芝子実体のエタノール抽出物と霊芝酸Aはケラチノサイトに対する(a)生存率と(b)细胞増殖の影响
霊芝子実体のエタノール抽出物はケラチノサイトの移动能力を高める
更に研究では、霊芝子実体のエタノール抽出物は创伤治癒実験で人体のケラチノサイトの移动能力にどのような影响を与えるかについての分析をしました。创伤治癒実験とは体外で细胞游走を评価する一つの方法で、创伤部周囲から中央部に细胞が移动するかを観察することです。中央部が细胞によって覆われていて、空白の部分が少なければ少ないほど细胞の移动能力が优れていることとなります。
24时间の実験结果は図2に示したように、霊芝子実体のエタノール抽出物の浓度(10ug/mLが最も効果的な投与量)が上昇するにつれて、细胞に覆われていない面积が小さくなりました。これは霊芝子実体のエタノール抽出物は人体のケラチノサイトに対して移动能力を促进する効果があると判明し、伤口の表皮细胞を再生できることにも期待されています。

図2 霊芝子実体のエタノール抽出物のケラチノサイトの移动能力に与える影响
霊芝子実体のエタノール抽出物は细胞の増殖と游走に関连するするタンパク质を调节する効果がある
Cyclin B1、CDK6、CDK2、Cyclin D3は细胞周期に関连するタンパク质で、EGFR、MMP-2、MMP-2、MMP-9、Srcは细胞の増殖と游走に関连するタンパク质です。それぞれのタンパク质の量が増えれば、细胞増殖と游走も高くなります。
研究では、霊芝子実体のエタノール抽出物(5ug/mLと10ug/mL)を细胞と一绪に培养すると、いずれもタンパク质の量が明らかに増加したことが分かりました。(図3)结果として、人体のケラチノサイトの细胞増殖及び游走を促进する効果があるのは、霊芝子実体のエタノール抽出物がタンパク质の调节に関与しているからです。

図3 霊芝子実体のエタノール抽出物はケラチノサイトの细胞増殖及び游走に関するタンパク质に影响を与える
霊芝子実体のエタノール抽出物は酸化ストレスによる细胞死を軽减させる
人のケラチノサイトを H?O?(フリーラジカルの一种)に曝露すると细胞は酸化ストレスによって死灭します。
図4に示したように、ケラチノサイトを H?O?に曝露された状态で、事前に5ug/mL又は10ug/mLの霊芝子実体のエタノール抽出物を入れると、细胞の生存率を明らかに高められることが判明しました。霊芝子実体のエタノール抽出物は细胞の抗酸化力を高める効果も认められました。

図4 霊芝子実体のエタノール抽出物は人のケラチノサイトを酸化ストレスによる伤害に対抗する手助けとなる
図4に示したように、ケラチノサイトを H?O?に曝露された状态で、事前に5ug/mL又は10ug/mLの霊芝子実体のエタノール抽出物を入れると、细胞の生存率を明らかに高められることが判明しました。霊芝子実体のエタノール抽出物は细胞の抗酸化力を高める効果も认められました。
霊芝子実体のエタノール抽出物は细胞死に関连するタンパク质が活性化されることを阻止する効果がある
AKT、ERK、p53、は细胞がフリーラジカルによる攻撃を受けた时に、细胞を死に诱导するタンパク质のことです。また、STAT3(シグナル伝达兼転写活性化因子)は细胞の成长に関するDNAをコントロールすることができますが、STAT3の働きが过剰に上昇すると细胞死を促すことに影响を及ぼします。実験によると、 H?O?はこれらのタンパク质の働きを上昇させ、细胞死を促す结果になります。しかし、事前に霊芝子実体のエタノール抽出物と一绪に培养した细胞は、 H?O?の影响下でも细胞死に関与するタンパク质の働きが着しく减少したことが见られました(図5に参照)。これは霊芝子実体のエタノール抽出物はフリーラジカルによる细胞死を抑制できる効果を示しています。

図5 霊芝子実体のエタノール抽出物は细胞死に関连するタンパク质の働きに影响
霊芝は饮むだけではなく、外用薬としてもぴったり!
皮肤损伤を修复するためには细胞の増殖だけではなく、细胞の游走も重要です。酸化ストレスはアレルギーや炎症性皮肤疾患(アトピー性皮肤炎、荨麻疹、乾癣等)の発症に重大な関连性があり、皮肤の老化とその机能に影响する要素です。皮肤疾患の治疗や健康な皮肤を维持するためには、酸化ストレスを调节するのがとても大事になります。
上记の実験结果を総合的に见ると、霊芝子実体のエタノール抽出物は细胞に対して毒性が极めて低いだけではなく、人のケラチノサイトの増殖と游走を促进させることができます。伤の治りを早めると同时に、フリーラジカルによる细胞死を抑制する効果もあります。
今回の研究结果では、霊芝子実体のエタノール抽出物は薬用化粧品や皮肤治疗及び他の医疗用途における発展性に注目を集めただけではなく、霊芝が薬用化粧品の分野においても応用できる里付けとなりました。
〔出典〕Mario Abate, et al. Ganoderma lucidum Ethanol Extracts Enhance Re-Epithelialization and Prevent Keratinocytes from Free-Radical Injury. Pharmaceuticals 2020, 13(9), 224.
〔中文版〕研究新知:灵芝乙醇萃取物可以加速皮肤修复,防止自由基伤害