2003年2月/Ernst-Moritz-Arndt大学/Fitoterapia
编译/吴亭瑶
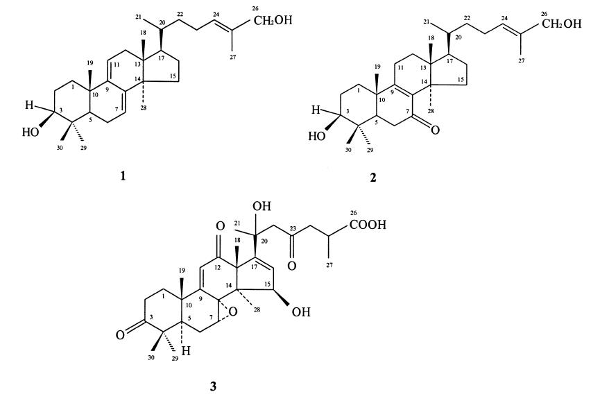
德国Ernst-Moritz-Arndt大学的学者从乾燥的成熟Ganoderma pfeifferi子实体分离到三种三萜化合物,分别是ganodermadiol(收率0.035%)、lucidadiol(收率0.04%)和applanoxidic acid G(收率0.07%)。这三个化合物在体外抑制狗肾细胞(MDCK cell)感染A型流行感冒病毒株(A/WSN/33,为H1N1型)的半数有效剂量(ED50)依序分别为0.22 mmol/L、0.22 mmol/L和0.19mmol/L。
其中Ganodermadiol还有抗疱疹病毒的活性,制猴肾细胞(Vero cell)感染HSV-1(第一型疱疹病毒,症状多出现在口、眼部位)的半数有效剂量(ED50)为0.068 mmol/L,另两者则无此活性。
ganodermadiol(1)、lucidadiol(2)和applanoxidic acid G(3)的化学结构。
(点选图片可放大)
〔资料来源〕Mothana RA, et al. Antiviral lanostanoid triterpenes from the fungus Ganoderma pfeifferi. Fitoterapia. 2003 Feb;74(1-2):177-80.
