2018年3月25日/北海道大学&北海道药科大学/Journal of Ethnopharmacology
文/洪瑀柔、吴亭瑶

IgA抗体和防御素(defensin)是肠道对抗外界微生物感染的第一道免疫防线,根据北海道大学和北海道药科大学发表在2017年12月《Journal of Ethnopharmacology》(民俗药物期刊)的研究证实,灵芝可以促进IgA抗体的分泌,并且提高防御素,却不会引起发炎反应,显然是提升肠道免疫、降低肠道感染的好帮手。

(重制/吴亭瑶,资料来源/https://doi.org/10.1016/j.jep.2017.12.010)
致病菌入侵时,灵芝会增加IgA抗体的分泌量
小肠是消化器官,也是免疫器官,除了消化吸收食物中的养分,也要防御各种由口而入的致病微生物。
所以,肠壁上除了布满无数的绒毛(吸收养分)之外,还有称之为「培氏斑块(Peyer's patches,简称PP)」的淋巴结组织,担任免疫守门员。一旦有致病菌被培氏斑块里的巨噬细胞或树突细胞发现,没多久B细胞就会分泌IgA抗体捕捉致病菌,为肠道筑起第一道防火墙。
已有研究证实,IgA抗体的分泌量愈多,致病细菌愈不易繁殖、移动能力愈弱,肠道通透性较低,细菌也比较不易穿越肠道进入血液,可见IgA抗体的重要性。
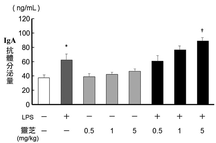
为了了解灵芝对小肠培氏斑块分泌IgA抗体的影响,日本北海道大学等研究者将大鼠小肠的培氏斑块取出体外,再把斑块里的细胞分离出来,与大肠杆菌的脂多醣(细菌的细胞壁组成,也称内毒素,缩写LPS)一起培养72小时。结果发现,这段期间如果同时有相当剂量的灵芝存在,则IgA抗体的分泌量,会比没有灵芝时高出很多──但低剂量的灵芝则无此效果。
不过,在同样时间条件下,如果只把培氏斑块细胞与灵芝一起培养,没有伴随LPS的刺激,则IgA抗体的分泌量并不会特别增加(如下图)。显然,在肠道面临外来感染威胁时促进IgA的分泌,灵芝会提升肠道的防御等级,且效果与灵芝剂量呈正比。

灵芝对小肠壁上的淋巴结(培氏斑块)分泌IgA抗体的影响
〔说明〕图表下方的「-」表示「不含」,「+」表示「含」。LPS来自大肠杆菌,实验用的浓度为100μg/mL;灵芝则是乾燥子实体磨粉加生理食盐水制成的悬浮液,实验剂量分别为0.5、1和5 mg/kg不等。(资料来源/J Ethnopharmacol. 2017 Dec 14;214:240-243.)
灵芝平常也会提高防御素的表现量
另一个在肠道免疫最前线扮演要角的则是「防御素」,它是由肠壁上潘氏细胞(paneth cell)所分泌的蛋白分子,只要一点点的量,就能抑制或杀灭细菌、真菌和某些类型的病毒。
潘氏细胞在小肠的分布主要集中在回肠(小肠後半段),而根据该研究的动物实验显示,在没有LPS刺激的情况下,大鼠在灌胃灵芝(剂量为每公斤体重0.5、1、5mg)24小时之後,回肠的防御素-5和防御素-6的基因表现量,会随灵芝剂量的增加而增加,而且都比受到LPS刺激时要来得高(如下图)。
显然,即使在没有致病菌威胁的承平时期,灵芝也会让肠道的防御素处在备战状态,随时因应不时之需。

大鼠回肠(小肠後段)测得的防御素基因表现量
灵芝没有造成过度发炎的疑虑
为了阐明灵芝活化免疫的机制,研究者把焦点放在TLR4的表现上。TLR4是免疫细胞上的受体,可以辨识外来入侵者(如LPS),活化免疫细胞内的讯息传递分子,进而让免疫细胞做出反应。
而根据他们的实验发现,灵芝不论是促进IgA抗体分泌,或增加防御素基因的表现,都和TLR4受体的活化密切相关──也就是TLR4受体是灵芝提升肠道免疫的钥匙。
虽然活化TLR4可以提升免疫,但过度活化的TLR4却会促使免疫细胞不断分泌TNF-α(肿瘤坏死因子),造成过度发炎,反而会对健康带来威胁。因此研究者也检测了大鼠小肠的TNF-α。
结果发现,给予灵芝的情况下,大鼠小肠前後段(空肠和回肠)和肠壁上培氏斑块的TNF-α 基因表现量和分泌量并不会特别升高(如下图),甚至高剂量的灵芝还有抑制TNF-α的作用。
上述实验使用的灵芝材料,均为「乾燥过後的灵芝子实体」磨成细粉加生理食盐水调制而成。研究者表示,由於实验所用的灵芝含有灵芝酸A(ganoderic A),而过去已有研究证明灵芝酸A可以抑制发炎,因此他们猜测,在灵芝多醣提升肠道免疫力的过程中,灵芝酸A很可能适时扮演了平衡的角色。

大鼠小肠各部位测得的TNF-α基因表现量
〔资料来源〕Kubota A, et al. Reishi mushroom Ganoderma lucidum modulates IgA production and alpha-defensin expression in the rat small intestine. J Ethnopharmacol. 2018 Mar 25;214:240-243.