2019年10月18日/温州大学/Frontiers in Microbiology
文/李怡萱(台湾大学生化科技学系硕士班)

富含三萜类、多酚类、多醣类的灵芝,具有抗发炎、抗氧化、免疫调节等多种生理活性,被广泛用在营养保健品里,因此如何提高其生物活性成分的含量,从而提高灵芝子实体的品质,便成了科学家的研究重点之一。2019年十月由温州大学生命与环境科学院等发表在《Frontiers in Microbiology》(微生物学前沿)的研究报告指出,以高氧处理新鲜采收的灵芝,不仅有利於提高灵芝子实体里的灵芝酸与酚类含量,还能提高灵芝的抗氧化与保护DNA活性。
高氧处理可增加灵芝子实体中的酚类化合物含量
由於灵芝子实体被摘采下来後,其生理代谢会持续进行,活性成分的含量依然会发生变化。该研究团队将新鲜采收的灵芝子实体用空气(21%)或60%和80%的氧气处理六天,结果发现,高氧处理可以促进灵芝子实体中酚类化合物的生物合成,其中60%氧气的处理效果最好,在第三天时总酚含量最高(图一)。

研究者共测定了六种酚类化合物,包含:没食子酸、原儿茶酸、丁香酸、芦丁、槲皮素和山柰酚,其中主要的酚类化合物是山柰酚和没食子酸。在用60%氧气处理後,山柰酚的生物合成有显着提升,并且在第3天测定时达最高含量(1,784.08 mg/ kg )。没食子酸含量在60%氧气下处理5天後也有显着的增加(从444.35 到 653.00 mg/kg)。
高氧处理也可增加灵芝子实体中的灵芝酸含量
他们也量测灵芝酸含量是否会因高氧处理而增加。结果如图二所示,高氧处理可以增加灵芝子实体中的灵芝酸含量,做合适的条件是用60%的氧气处理3天。在此条件下测定的灵芝酸为5.89 g/kg,与对照组相比增加了1.13倍。其中增加最为显着的有:灵芝酸A、B和C2(ganoderic acid A、B、C2),以及灵芝烯酸(ganoderenic acid B)。

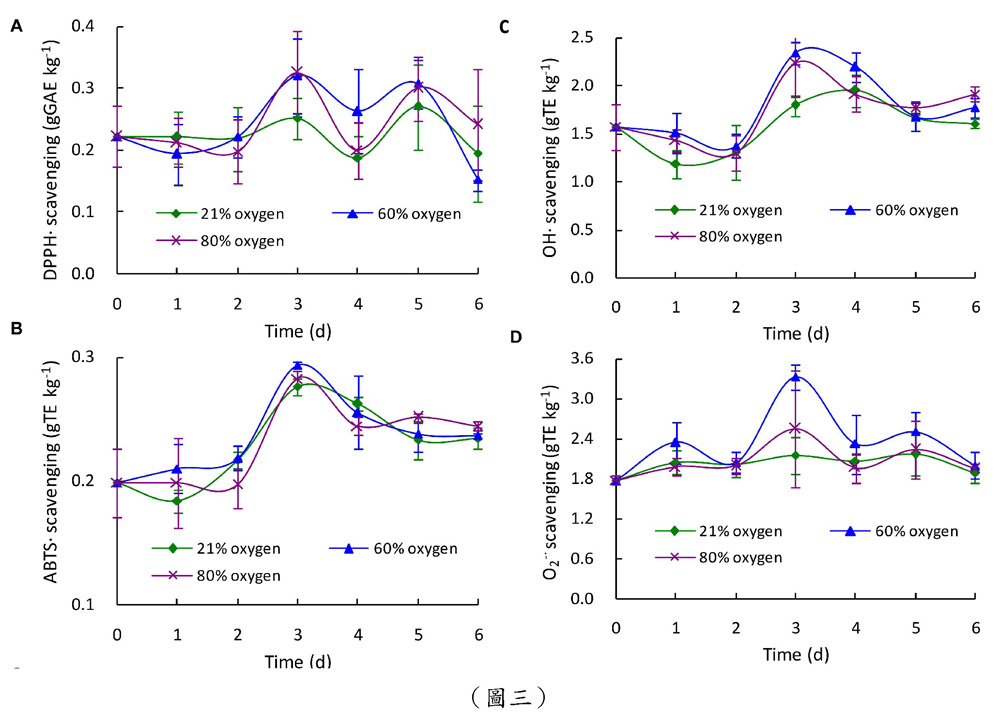
高氧处理可提高对自由基的清除能力
研究团队还探究不同氧浓度对灵芝抗氧化活性的影响。结果发现:
在60%或80%的氧气处理下,清除DPPH自由基的能力在第3天有显着的提升(图三A)。
ABTS自由基清除能力在60%氧气处理的第3天也达到最高点,显着高於对照组;但是,在80%氧气组和对照组之间,没有观察到ABTS+自由基清除能力的显着差异(图三B)。
另外,OH自由基(羟基自由基)和O2-自由基(超氧自由基)的最高清除活性也发生在使用 60%氧气处理的第3天,分别比对照高1.30倍和1.54倍(图三C,D)。

高氧处理可提高灵芝保护DNA的活性
另外,研究团队为了确定高氧处理对於灵芝保护DNA不受到损伤的特性是否有影响,提取样品并测试其对pBR322质体DNA是否有保护的作用,能否不受到OH自由基的攻击。在未加入自由基前,DNA主要为超螺旋形式的DNA(supercoiled DNA),是所谓完好形态的DNA;若受到OH自由基的攻击,则会变成带切口DNA(nicked form)。
不同氧浓度处理下,超螺旋DNA和带切口DNA形式的百分比如图四所示。在第3天,超螺旋DNA百分比逐渐升高,最高为68.74%(60%氧气处理)和49.75%(80%氧气处理),相较於对照组分别高2.15和1.56倍,该结果表明高氧处理可以增强灵芝子实体对於DNA损伤的保护活性。

总结来说,高氧有利於增加灵芝中酚类化合物和灵芝酸的含量,最佳条件是用60%的氧气处理灵芝子实体3天。采用60%的氧气还能提高灵芝对於DPPH自由基、ABTS自由基、OH自由基和O2-自由基的清除作用,以及保护DNA不受到损伤的活性。因此,采用高浓度的氧来诱导生物活性化合物的合成,是提高灵芝子实体生物活性和品质值得参考的好方法。
〔资料来源〕Dong Q, et al. High Oxygen Treatments Enhance the Contents of Phenolic Compound and Ganoderic Acid, and the Antioxidant and DNA Damage Protective Activities of Ganoderma lingzhi Fruiting Body. Front Microbiol. 2019 Oct 18;10:2363. doi: 10.3389/fmicb.2019.02363. eCollection 2019.