2020年2月/福建医科大学/Anti-Cancer Agents in Medicinal Chemistry
文/吴亭瑶


今年(2020)二月正式出刊的《Anti-Cancer Agents in Medicinal Chemistry》(医药化学中的抗癌药剂),刊登了一篇由福建医科大学药学院李鹏教授团队发表的研究成果,该研究通过细胞和动物实验证实,灵芝里的中性三萜能显着抑制大肠癌生长,其作用机制和「促使癌细胞凋亡」有关。
灵芝总三萜=中性三萜+酸性三萜
自从1982年科学家首度发现灵芝三萜以来,不仅为「灵芝子实体为什麽会那麽苦」提出了科学上的解释,也为科学家研究「灵芝为什麽能抗肿瘤」提供了多醣以外的线索。
灵芝三萜是一个集合名词,泛指灵芝里具有萜类结构的活性成分,根据其化学结构的不同可再分为两大群:一群是包括各种灵芝酸在内的「酸性三萜」(acidic triterpene fraction, ATF),另一群则是包括各种灵芝醇在内的「中性三萜」(neutral triterpene fraction, NTF)。
比起灵芝总三萜和酸性三萜的抗肿瘤作用已有许多科学证据,灵芝中性三萜在这方面的研究相对较少,因此李鹏教授的团队便把焦点摆在这个部分。
他们先用乙醇从灵芝子实体萃取出灵芝总三萜,再进一步分出中性三萜和酸性三萜两大部分,探讨其对大肠癌的抑制作用。
细胞实验:中性三萜的抑癌作用>酸性三萜
研究者将灵芝中性三萜与酸性三萜分别与三种不同特性的人类大肠癌细胞培养48小时,整体而言,灵芝中性三萜对於癌细胞生长(增生)的抑制作用,明显优於灵芝酸性三萜(图1)。

图1 灵芝中性三萜(NTF)与酸性三萜(ATF)
对人类大肠癌细胞的生长抑制率
动物实验:灵芝中性三萜抑制肿瘤生长
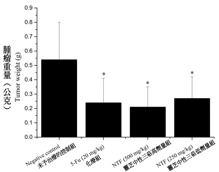
研究者进一步透过动物实验评估灵芝中性三萜在体内的抗肿瘤作用:先把「具有淋巴转移能力」的人类大肠直肠癌细胞株SW620植入裸鼠(免疫缺陷小鼠)皮下,待长出肿瘤後,再以口服方式每天给予250 mg/kg或500 mg/kg的灵芝中性三萜。
经过十三天的实验发现,灵芝中性三萜的介入可以让肿瘤长得比较慢、比较小,其抑制效果足可媲美化疗药5-Fu(每天腹腔注射20 mg/kg),可是又不会像5-Fu那样让体重严重流失(图2~5)。

图2 实验结束时从各组大肠癌裸鼠身上取出的肿瘤组织

图3 实验期间各组大肠癌裸鼠的肿瘤生长变化

图4 实验结束时各组大肠癌裸鼠的肿瘤平均重量

图5 各组大肠癌裸鼠实验前後的体重
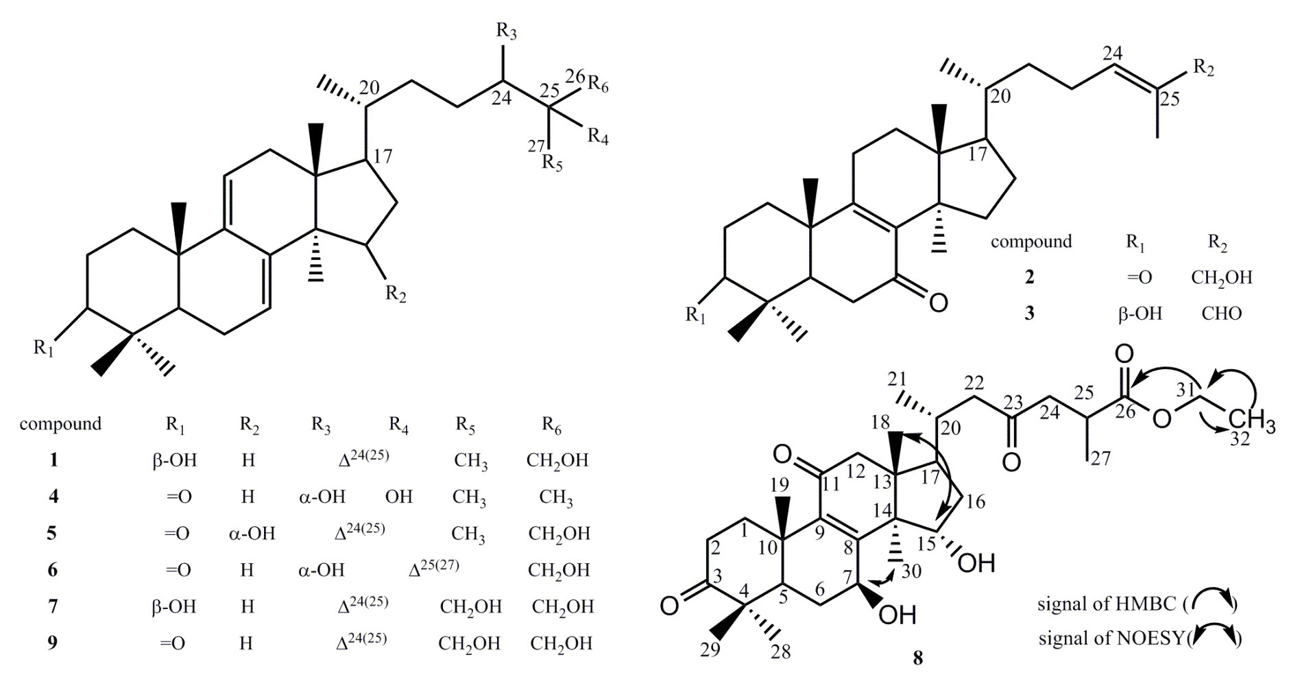
功效成分:至少九种三萜化合物
诚如文章最前面所说,灵芝中性三萜也是一个混合物,里面包含了各式各样不同的三萜化合物。而根据研究者的分析,上述这个对大肠癌有抑制作用的灵芝中性三萜至少包含九种三萜化合物(图6)。

图6 灵芝中性三萜里主要的九种三萜
作用机制:促使癌细胞凋亡
把这九种三萜在体外与人类大肠直肠癌细胞株SW620各别培养会发现,它们或多或少都具备毒杀癌细胞的能力。
研究者以其中最具代表性的灵芝酮二醇(ganodermanondiol)做进一步探讨,发现它可以启动癌细胞的凋亡机制,把癌细胞从生生不息的神坛推向死亡深渊,其有效浓度(抑制半数癌细胞)为11.17 μg/mL。
这个浓度对於正常细胞(小鼠胚胎细胞株NIH3T3)并无杀伤力,必须把浓度增加至80 μg/mL以上才有显着影响(抑制半数小鼠胚胎细胞株存活)。这表示灵芝酮二醇会区分癌细胞和正常细胞,并给予不同的「待遇」,此与化疗药好坏细胞「通杀」的作用截然不同。
上述研究成果让我们看到「灵芝子实体乙醇萃取物里的中性三萜」对於人类大肠癌有很好的抑制潜力。此灵芝中性三萜启动癌细胞的凋亡机制,是否是通过调控癌细胞内的粒线体来达成的,研究者认为值得进一步探讨。
至於身为消费者的我们,要吃哪种灵芝三萜?当然是都要吃到最好,不是吗?!
〔资料来源〕Li P, et al. Anti-Cancer Effects of a Neutral Triterpene Fraction from Ganoderma lucidum and its Active Constituents on SW620 Human Colorectal Cancer Cells. Anticancer Agents Med Chem. 2020; 20(2): 237-244. doi: 10.2174/1871520619666191015102442.