今年八月中,受邀在〈2015年第一届中国灵芝大会〉演讲的上海市农业科学院食用菌研究所所长,张劲松博士,指出中国灵芝产业长久以来的问题,并提出解根本性的解决之道。半小时的演讲,整理成文却有近万字,很长的一篇文章,包涵的是十几年的心血投入,以及对这个产业的关心和远见,读起来肯定得费点心。而当我花了一个多星期写完这篇报导时,不禁心想,哪个灵芝业者先照做了,谁就先赢了!(感谢张劲松博士审稿)
文/吴亭瑶 图表提供/张劲松 繁体版/请连结

张劲松博士/所长 简介
◆ 兰州大学 化学系 学士
◆ 中国科学院 上海药物研究所 有机化学硕士
◆ 德国柏林自由大学 分子生物学与生物化学研究所 医学博士
◆ 现任上海市农业科学院 食用菌研究所 所长
◆ 主要从事从食药用菌中分离纯化活性成分,并研究其化学结构和生物活性的工作。对灵芝属的药用价值进行了全面和系统的研究,建立了世界首个中国栽培灵芝种质资源数据库。
在所有食药用菌里,灵芝的研究论文数量最多,研究面相最深最广,产品开发最快,却也是争议最多的一个。包括:什麽品种或哪个产地的灵芝最好?椴木还是袋料(太空包)栽培好?子实体还是粉孢子好?孢子破壁好还是不破壁好?……都是经常引起讨论的焦点。
受邀在〈2015年第一届中国灵芝大会〉演讲的上海市农业科学院食用菌研究所所长,张劲松博士,即根据他十几年来对灵芝菌株丶栽培丶成分丶活性的科研成果,对上述争议提出一些看法,并剖析中国灵芝产业当前面临的几大问题,提出「种源丶栽培丶加工标准化,市场营销合法化」的建言,期许灵芝产业在经过拨乱反正之後,随着大健康产业的兴起再创高峰。
药厂的强势竞争,不容忽视
灵芝产业在中国到底有多热?这位深受中国食药用菌产业仰赖的学者,引用一些数据和大家说分明。
截至目前(2015年7月)为止,全球灵芝研究论文加起来已超过一万篇,灵芝相关的专利也有近七千项,取得中国国家核可的保健食品和药品各有五百多和一百多种,灵芝产品光是在中国的销售金额已超过一百亿人民币。
而在接下来几年,甚至数十年里,随着国家政策把「健保食品」列入「大健康产业」的支撑产业,寄望藉由「治未病」的保健食品减少人民生病丶提升群众健康水平,加上民众本身健康意识提升丶经济收入增加,以及老化带来的危机感等种种因素,以上各项数字还会继续攀升。
据估计,中国的营养与保健食品产业可望在2015年达到人民币1万个亿的规模,未来每年还会以年均20%的速度成长。其实不用放眼未来,现在的大健康产业已经是全球最大产业,占GWP(世界生产总值)的十分之一,无怪乎马云会预言,「下一个超越马云的人一定出现在大健康产业里」。
正因为这块大饼非常诱人,已有不少传统医药企业纷纷开发功能性饮料丶药妆丶保健食品等带有大健康属性的消费品。
张劲松特别提醒灵芝业者注意这様的局势发展,因为相较於资金多丶规模大的药业企业,想要转型做保健食品的农业行业企业,虽然掌握原料生产的优势,却在资金、市场营销等方面处于相对劣势,甚至连已经先抢进市场的小型保健食品企业也可能备受威胁。
打混仗不再可行,合法经营才有前景
想在竞争激烈的大健康产业中脱颖而出,考验经营者的智慧,而首要之务就是「合乎法律规范」。
张劲松表示,这麽多年来中国在食品丶药品出了很多问题,促使主政者在政策面做了很多应对性的调整,其中之一即是食丶药监部门合并,食品丶药品统一监管,并重新修订《食品安全法》的内容,於2015年10月1 日正式实施。
相对於旧法,新法有很多限制,象徵当局整顿食品和药品的决心。张劲松呼吁灵芝业者们绝对要合乎规范,因为只要有一个厂家违法,整个灵芝产业都会受到影响。
另一个张劲松提醒业者特别注意的是,政策法规上对於「灵芝用途」的规定。
《国家药典》收录了赤芝(Ganoderma lucidum)丶紫芝(G. sinense)两种灵芝子实体,《保健食品的真菌菌种》名单中则收录赤芝丶紫芝丶松杉灵芝(G. tsugae)等三个灵芝菌种,但灵芝不在《食药两用的中药名单》里。「所以,灵芝在中国只可作为药材或保健食品原料,绝对不能当作食品销售。」
至於许多人关心的「破壁灵芝孢子粉」,2014年政府当局已明确发函表明破壁灵芝孢子粉不宜作为普通食品的原料,也不得进一步加工做成普通食品。「这表示,没有取得蓝帽子(保健食品核可)的所有破壁灵芝孢子粉产品都是违法的。以前可能没人管你,但现在只要有人举报,一定会管你丶罚你。」张劲松再三提醒。
不合法的菌种不该作为生产用途
如前所述,在中国能作为药材或保健食品原料的灵芝只有三种(三大类)。换句话说,厂商种来生产用的灵芝怎麽样都不该脱离这个范围,但实际情况却不是如此。
张劲松和其团队成员曾收集全中国11个省份的主要灵芝产区共153个灵芝菌株(即品种),以及国外(包括斯洛文尼亚丶阿根廷丶美国丶加拿大丶印度等地)25株菌株,把它们放在同一个栽培基地,用同様的条件种出子实体,再根据子实体形态学进行分类。结果发现,这些菌株至少可被分成七个不同的种,其中之一,就是中国最常见的栽培种G. lucidum,俗称灵芝或赤芝。
「我们也认为它和欧洲最早发现和命名的那个G. lucidum是不一様的种,但现在《中国药典》上收录的灵芝的拉丁名还是写为G. lucidum,没办法改。」张劲松顺带指出困惑灵芝产业界和学界的另一个大问题。
「所以学术上和产业上要做到无缝接轨,还有很多事情要做。未来会怎麽解决G. lucidum这个学名在中国和西方文献定义上实际是不同种的问题,目前还不知道,但现在我们只能用G. lucidum来称呼中国栽培的这个灵芝属的种。」
除了G. lucidum之外,这一百多个菌秼有的可归类在紫芝(G. sinense)和松杉灵芝(G. tsugae)底下,有的则属於无柄灵芝(G. resinaceium)丶近拟鹿角灵芝(G. subamboine)丶密纹薄芝(G. tenue)丶树舌灵芝(G. applanatum)等。至於最近颇受市场关注「白灵芝」,也有人称为「白芝」或「玉芝」,经鉴定後证实和灵芝属一点关系也没有。
张劲松表示,根据中国法律规定,上述除了前面三个菌种之外,後面几个菌种都不能作为保健食品或药品的原料。菌种不合法,做出来的产品就不合法,「所以生产用的菌种一定要合法,如果这个产业要往前发展,就要合乎法律规定;不能用作药材和保健食品的菌种,就不应该种植。」

基因鉴定菌种身份,确保种源一致性
由於灵芝子实体的形态様貌很容易受环境影响,可能造成分类上的误判,因此张劲松的团队先後又利用四种基因鉴定技术,包括REPD丶ERIC-PCR丶ITS序列分析丶Tublin部分序列分析等,对先前收集到的菌秼进行重复确认,得到的结果和形态分类法类似──目前在中国广泛栽培的灵芝至少有六个种。
其实,基因鉴定方法不仅能区分灵芝菌种的差别,还可辨识出同一个菌种底下的不同品种。不过上述几种方法都很耗工费时,所以他们後来又根据ITS序列分析的结果,建立了一套快速鉴定灵芝品种的方法(特异性鉴定PCR),「不须种出子实体,只要你把菌种送过来,我们很快就能给你答案」。
张劲松希望业界好好利用这套快速鉴定方法,透过基因判读,搞清楚自己种的灵芝到底是哪个品种。「市场上卖的菌种各式各様,有些认证过,有些没经过认证,千奇百怪。如果我们都不知道自己种的是什麽东西,却要强调你加工做出来的东西是最好的,实际上是不可能的!」
种源混乱影响品质与食安
今天买到这个就种这个,明天买到那个就种那个,不只会使最後做出来的产品质量不一致,还可能影响生产(原料)的质量与安全。
「像是收孢子粉,通常是在相对密闭的环境里,但有些菌株长时间待在这様的条件下,整个菌盖丶菌柄全长霉了。这様的孢子粉或子实体,谁还敢吃?不光达不到保健效果,还可能损害身体健康,因为霉菌会产生各式各様的毒素在里面。」
所以张劲松提醒,选择种源不只要合乎国家规定,还要考虑生长条件适不适合。只有事先仔细筛选品种,接下来都用同一品种栽培,才可能种出既有质量丶又很安全的灵芝。
没名没利,谁来育种?
菌种混乱的现象,也反应出整个产业长期以来对於育种家的不重视与不尊重。
目前种源开发的重任还是落在科研单位身上,但很多人不愿意做这件事。为什麽?张劲松直接了当地说,育种工作要花大量心思和力气,但国家对菌种保护的基础做得不够好,加上大家都想用免费的,使得育种人员在智慧财产权上根本无法获益。
不得利,名总有吧?可惜也没有!张劲松以香菇的经验为例,「很多人向我们要了品种之後,名字改得五花八门,那些育种家到栽培现场一看,发现名字里没有他的种,但事实上种的全是他的种。也有业者要我们开品种证明,但拿到证明後,实际种的全是别人的种。」
灵芝的情况也是如此,让育种家们深感无奈。「老实说,育种这事,不得名不得利,估计就没人要做了。所以我们现在提供业者品种可以不收钱,你要,我随时给,只有一个要求,就是不许改名字。」张劲松希望为育种家争取最低限度的保障。
然而就长远来看,唯有建立适当的知识产权保护机制,业界才能持续有好品种丶新品种可用。因此张劲松呼吁各家企业和经营菌种买卖的合作社,花点钱买品种,给育种家有一些回报,同时也希望大家在菌种保护这块能够自律,整个灵芝产业才能继续往前走。
哪种灵芝最好?
一、「成分高低」和「活性强弱」没有关联
为了了解不同灵芝品种的生物活性,张劲松的团队把先前收集到的一百多个菌株放在同一个基地丶用同様的条件进行栽培,并将栽培所得的子实体用同一种方法萃取,透过细胞实验比较不同菌株子实体水提物的多糖含量及其「刺激淋巴细胞增值」的活性,以及酒精提物的三萜含量及其「抑制肿瘤增殖」的活性。
把刺激淋巴细胞增殖活性最强的前20个灵芝菌株,及其多糖含量,以图表呈现,柱状代表增殖率,折线代表多糖含量,可以看出有些增殖率不错的菌株,多糖含量相对低(图1);同様的现象也出现在三萜含量和肿瘤细胞抑制率之间的关系,三萜含量最高的未必是肿瘤抑制率最强的(图2)。
「这给我们的启示是,我们用化学方法从灵芝里测到的多糖和三萜含量,和其生物活性『没有』正向关联。」张劲松做出结论。
「所以,你问我哪个灵芝品种最好?我真的不知道,因为它的成分含量和活性高低就是没有规律性可循。业者应该做自己的品种,找自己要的生物活性成分,而不是每个企业都标榜『我的灵芝是中国或世界最好的』。你最好的标准是什麽?标准不一様,答案又怎会一様呢?」

图1 刺激淋巴细胞增殖活性最强的前20个灵芝菌株及其多糖含量

图2 肿瘤细胞抑制率最强的前20个灵芝菌株及其三萜含量
二、没有所谓最好的「品种」或「产地」
为了厘清「哪个地方产的灵芝最好」这个长久以来的争议,张劲松的团队特别挑选几个不同的品种,放在不同的地方栽培(上海丶福建丶吉林丶山东丶浙江),比较子实体水提物里多糖的含量与活性,以及醇提物里三萜的含量和活性。
结果发现,多糖与三萜含量之间并无关联性(表1丶2);从各产地收来的同一个品种,不论是子实体水提物刺激淋巴细胞的活性,或是醇提物抑制肿瘤细胞的作用,都有差距(图3丶4)。
张劲松不讳言,他也和大家一様想找到一个规律性,「但实事求是的结果是,所谓的道地药材,哪个品种在哪个地方栽培最适合,还真是很难说;也没有哪个地方放任何一个品种去种,都能种出活性最高的灵芝,所以也不能说哪个产地的灵芝一定最好。」
表1 不同栽培地灵芝水提物子实体的多糖含量(%)

表2 不同栽培地灵芝醇提物的三萜类含量(%)


图3 不同栽培地灵芝水提物对小鼠脾淋巴细胞的增强作用

图4 不同栽培地灵芝醇提物对K562肿瘤细胞的抑制作用
三、袋料栽培没有比较差
至於灵芝用椴木或袋料(太空包)栽培好?张劲松说,大家直觉好像椴木好,因为椴木种出来的灵芝比较硬(扎实),但如果从提取物的活性来看,其实很难说。
因为实验证明,有些菌种用棉子壳袋料栽培获得的多糖,其在体外刺激淋巴细胞增殖的作用比椴木栽培高很多,有些菌种则没差别;而从三萜提取物对肿瘤细胞的抑制作用来看,袋料栽培的灵芝则表现得比椴木灵芝好。(图5丶6)

图5 不同栽培方式对灵芝水提物体外刺激免疫细胞增殖的影响

图6 不同栽培方式对灵芝醇提物体外抑制肿瘤细胞的影响
四、灵芝易受天候影响
张劲松还探讨了「不同年份」对灵芝子实体质量的影响,结果发现,同一个品种,即使在同一个基地栽培,不同年份收成的子实体提取物的生物活性,也不会一様(图7丶图8)。
不同年份意谓着天候差异,「因为种灵芝是靠天吃饭,有些年份出菇得特别晚,里面各种化学成分一定会起变化。灵芝的活性是建立在化学成分,化学成分变了,活性就变了。」张劲松解释。
换句话说,若想避免天候影响,每年都种出质量相对稳定的灵芝,工厂化栽培可能是必须考虑的方式。

图7 不同年份栽培灵芝水提物刺激免疫细胞增殖的作用

图8 不同年份栽培灵芝醇提物抑制肿瘤细胞的作用
灵芝子实体多糖GLIS的免疫活性
灵芝的生物活性是建立在化学成分上,因此张劲松也对灵芝多糖和三萜做了一些探讨。
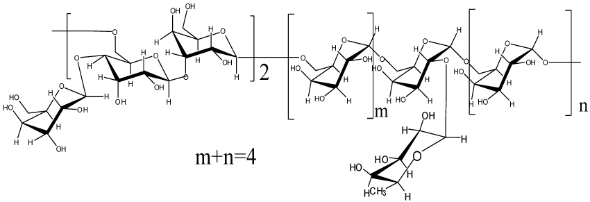
他们从一个新培育的灵芝(G. lucidum)品种(编号119)子实体水提取物中分离出七种多糖成分,并针对其中一个免疫活性较高的多糖GLIS,做比较详活性探讨。
实验显示,这个含有8%蛋白、分子量为1.2 × 104的多糖能促进淋巴细胞增殖,且量效关系呈钟形曲线(图10)── 10 μg/ml即有显着的刺激作用,200 μg/ml剂量下的细胞增生数量最多,但当浓度增至500 μg/ml和1,000 μg/ml时,促进淋巴细胞增生的作用反而逐渐递减。此结果某种程度说明了,灵芝多糖对免疫的促进作用有最适剂量,不是越多越好。
淋巴细胞包含有T细胞和B细胞等免疫细胞,而经进一步分析发现,GLIS促进细胞增生的主要族群是B细胞。把GLIS单独与B细胞一起培养,即可看到GLIS的浓度愈高,B细胞增生的数量也愈多(图11)。

图9 灵芝子实体多糖GLIS的化学结构

图10 灵芝子实体多糖GLIS刺激小鼠淋巴细胞的增殖作用

图11 灵芝子实体多糖GLIS刺激B细胞增殖
实验也发现,GLIS不仅能刺激淋巴细胞分泌IL-2丶IL-4和IgG,也可直接刺激B细胞产生IgG,同时还能促进巨噬细胞增生,提高其吞噬活性,并增强自然杀手细胞杀伤肿瘤细胞的能力。
从GLIS与各种免疫细胞间的互动结果,证明它确实有提升免疫的作用,而且它对不同免疫需求的细胞似乎有不同的调控作用,因为後续的实验显示,比起正常老鼠的巨噬细胞,肿瘤老鼠的巨噬细胞对GLIS更敏感丶反应更强(图12)。

图12 灵芝子实体多糖GLIS激活巨噬细胞
〔说明〕分别对正常老鼠巨噬细胞和肿瘤老鼠巨噬细胞加入同様剂量的GLIS,结果发现,不论是细胞活性或NO丶TNF-α丶IL-1β的分泌量,後者都比前者高。
理论上,GLIS既然有免疫效果,免疫细胞表面就应该有和它结合的受体。为了确定这件事,张劲松的团队先把GLIS接了一个萤光物质,再让它和免疫细胞作用,如此一来,和GLIS与受体结合后细胞会由荧光。结果看到的是,在淋巴细胞细胞表面的受体呈点状分布(如图13左),而在巨噬细胞上则是均匀分布的(如图13右)。
显然,GLIS会与免疫细胞上的某个受体结合,把原本处在休眠状态的免疫细胞给叫醒。至於被GLIS刺激的受体透过什麽样的方式活化细胞,张劲松的团队已证实,并非透过钙离子通道,而是与PKC蛋白激酶家族有关。

图13 灵芝子实体多糖GLIS与淋巴细胞受体(左图)和巨噬细胞受体(右图)作用的情形
灵芝子实体三萜的抗癌活性
除了多糖之外,张劲松的团队也对灵芝三萜类作了一些探讨。他们利用超临界CO2萃取法从沪农灵芝一号的灵芝(G. lucidum)品种子实体和菌丝体中提取出总三萜,再从中分离出数种单一三萜化合物,包括灵芝酸R丶灵芝酸S丶灵芝酮三醇和灵芝醇B。实验发现,不论是单一或加总的三萜,都对前列腺(摄护腺)癌细胞增殖有抑制作用(图14)。

图14 灵芝酸R对LNCaP前列腺癌细胞增殖作用的影响
〔说明〕F为前列腺癌治疗药Flutamide;T为睾固酮,DH为二氢睾固酮,睾固酮经催化後会转型为活性较强的二氢睾固酮,而这两种雄性荷尔蒙都会刺激前列腺细胞增生,但後者作用较强。实验显示,灵芝酮三醇不只能直接抑制前列腺癌细胞增生,在睾固酮或二氢睾固酮刺激的环境下,也可发挥作用。
利用化学成分的指纹图谱控制子实体的品质
化学成分不仅可以是灵芝生物活性的来源,也可作为灵芝品质控制的指标。就像张劲松说的:「你现在种的灵芝,和你上次种的是同一个吗?你委托别人种的灵芝,他种好给你东西,是你当时要他种的品种吗?」这些问题,都可以透过灵芝本身化学成分的分布特徵,也就是它的指纹图谱,进行确认。
一、HPLC三萜指纹图谱
他们首先利用HPLC建立灵芝三萜指纹图谱。张劲松表示,每一个菌种或品种的灵芝,都有其典型的三萜类指纹图谱,不会因为年份(天候)丶产地丶基地丶栽培方式(袋栽或椴木)不同而有所影响(图15),因此可作为控制灵芝原料品质丶确认种源一致性的方法。
目前他们已针对赤芝丶紫芝丶松杉灵芝丶无柄灵芝丶密纹薄芝丶树舌灵芝等几种中国常见的灵芝,建立专属的三萜指纹图谱,可以协助企业进行鉴定。
不过研究也发现,同一个灵芝种不同品种(菌株)之间的三萜类指纹图谱有一些差异,代表它们的化学成分有差异,生物活性当然也不同,这就是为什麽栽培灵芝要做到「品种(而非菌种)标准化」的原因。
进一步透过HPLC分析不同灵芝菌株中八种单一三萜类(灵芝酸A丶B丶C2丶DM丶S丶T,以及灵芝醇B和灵芝酮三醇)的各别含量,发现差异性很大,有的品种某些灵芝酸特别高,有的则特别低。「把这结果落实在企业就是,你必须寻找『属於自己的品种』。」张劲松重申「找对品种」的重要性。
也就是说,企业必须找到「在成分含量上能支持其产品功效」的品种,甚至应该找出这个品种在什麽様的条件下进行栽培,其功效成分可以极大化,才能做出较理想的灵芝产品。

图15 GL156菌株在五个不同基地栽培子实体三萜类指纹图谱的比较
二、HPLC核苷指纹图谱
除了三萜,灵芝里还有另一类活性分成 ── 核苷。和三萜一様,每种灵芝也都有其典型的核苷指纹图(图16),而且同个菌种底下的不同品种(菌株),各类核苷成分含量差距也很大。张劲松以尿嘧啶为例,最少的只有20 μg/g,最高则有219 μg/g。类似情况也出现在尿苷丶腺嘌呤丶鸟苷等成分上。
张劲松的团队已经为中国常见的几种灵芝建立了核苷指纹图谱,「如果企业生产的灵芝是以核苷为主要的生物活性,就要考虑用这种方式作为灵芝质量的判断标准。」

图16 不同种灵芝子实体的核苷成分HPLC指纹图谱
三、灵芝活性多糖GLIS的HPLC测定
此外,张劲松也利用HPLC对灵芝里的活性多糖GLIS进行定量分析。「因为这个大分子多糖是我们从赤芝分出来免疫活性最高的一个,所以用它作为鉴定标准。」
测定的数据显示,GLIS在不同菌种的含量差异相当大。就算同様是赤芝,GLIS含量也有差异,而且亲缘关系远的,比亲缘关系近的,含量差异更大。即使是同一品种(菌株),在不同基地丶用不同方式(椴木或袋料)栽培,含量差别也很大(图17)。
当然,不同的灵芝有不同特色的活性多糖,每一种灵芝原料和产品都可选择合适的多糖作为鉴定标准。但从GLIS的测定结果可以看出,影响多糖含量的变数很多,如果没有严格落实品质控制和标准化栽培,怎麽可能每次都种出品质一致的灵芝呢?

图17 以HPLC测定灵芝活性多糖GLIS含量
三萜含量的测定方法有重大缺陷
凡在中国取得保健食品或药品核可的灵芝产品,都会标示三萜或多糖的含量,但张劲松表示,这些含量标示无法相互比较,因为目前尚无国家统一标准,每家企业采用的测定方法不同,测出来的含量自然无法放在同一个天秤上一较高下。
所以,政府必须针对灵芝三萜和多糖建立统一的检测方法,而且这个检测方法必须具备科学上的正确性,不能失真。
张劲松以灵芝产品的三萜含量为例,「许多拿到蓝帽子的孢子油产品,三萜含量标示少的大概17丶18%,多的甚至超过20%。真的有那麽多三萜吗?」
根据他们以HPLC法检测灵芝不同部位总三萜含量的结果显示,孢子粉里根本测不到三萜类(图18右边HPLC图谱)。但如果以「中国农业部检测灵芝及其相关产品中总三萜含量的备案标准」,检测同様的灵芝菌丝体丶孢子粉丶子实体,其三萜含量各为0.85%丶1.93%丶1.75%(图18左边表格),而孢子油的三萜含量甚至高达百分之十几以上。

图18 以分光光度计法和HPLC法测定灵芝不同部位的三萜含量
〔说明〕以HPLC法检测灵芝不同部位的总三萜,得到的结果如右边的图谱:子实体里含有很多不同的三萜化合物(每个起伏的波峰代表一种三萜化合物),菌丝体只有少数几种(波峰很少),而孢子粉根本测不到三萜类(线条一片平坦)。
为了了解为什麽会有上述情况发生,张劲松的团队把从三萜类分离出来的纯的单品(即单一三萜化合物),用农业部的化学方法检测:每种单品都投了50单位的量,照道理测出的量应该都是50,但实际测出来的差别却很大:灵芝酸A只有一点几,灵芝酸T只有12,灵芝酮三醇和灵芝酸B的差距较小,各有42和36。以同様的方法测定油酸和麦角甾醇,它们都不是三萜化合物,但测出来的三萜类含量却有二十几和三十几。
此结果说明了,目前官方提供给企业使用的灵芝三萜含量检测方法,不仅非常不准确,还会把油酸丶麦角甾醇等非三萜的成分误判为三萜类。
张劲松引用2005年陈体强等发表在《菌物研究》第2期的一篇论文〈灵芝孢子油脂肪酸组分的分析〉,指出灵芝孢子油中不饱和脂肪酸占总量的73.6%,其中油酸(C18:1)丶亚油酸(C18:2)和棕榈酸(C16:0)分别占了57.5%丶13.4%丶19.6%。
「也就是说,孢子油里有将近一半是油酸,正是因为这个油酸,让孢子油的三萜含量测定值出现了『大於20%』的错误。」
「所以是检测方法有问题,不能怪企业家这様宣传,他们不过是按政府公告的方法去做而已。」张劲松为业者缓颊,但也不讳言错误的数值会误导消费者,因此政府必须尽快针对灵芝三萜丶多糖或其它主要活性成分,制订全国统一的检测标准,才能促使灵芝产业更加健全。
重申对产业的建言:标准化、合法化
演讲最後,张劲松再次叮咛灵芝业者以下四个重点:加强「种源生产标准化」和「品种保护」的工作,推广「栽培生产的标准化」和「GAP基地建设」的工作,重视「产品加工的标准化」和「质量安全控制」的工作,以及重视「市场营销合法化」和「引导宣传」的工作。
在种源方面,张劲松期盼产业界在菌种的工艺和生产能做好保护工作,并使用专业的菌种来保证安全性和品种确定性。
「现在很多生产区都是一家一户的小型菌种公司,我觉得对这个产业发展是极大的不利。他往往买了品种後,自己再去扩繁,後面常会衍生很多问题,结果出了问题就去找育种单位,但赚了钱都和育种单位没关系……」
「理想的做法应该要有专门的公司来做育种的工作,贩售原有的栽培种,同时保证育种者与农民的利益,这个产业才能继续下去。」张劲松建议。
在栽培方面,张劲松强调,光有硬体设施还不行,必须把生产条件标准化,才能生产优质的子实体和孢子粉产品。
此外,孢子粉丶子实体仍有重金属丶农药超标的问题,也要想办法解决。「这个问题很大,因为只要有一个地方的灵芝超标,经过媒体报导後,不只当地的灵芝卖不掉,全国的灵芝都卖不掉了。」张劲松指出事情的严重性。
其实问题未必在种灵芝的人,而在种灵芝的地。张劲松表示,有些地方栽培灵芝是和其他农作物轮种,哪块地空下来不种作物了,就用哪块地种灵芝。问题是当时种农作物的农药残留还在,或者原本农地就残留有重金属,但栽培的人不知情,当然难以掌握椴木下地後的安全性。
所以灵芝和其他作物轮种,看似提高农地利用率和生产报酬率,实则有很高的安全风险。因此张劲松认为这様的栽培模式必须三思,并建议业者们思考用袋料替代椴木栽培来避免污染的问题。
在营销方面,张劲再次强调,一定要合法,不要夸大。「宣传灵芝可以改善病人感官症状和免疫指标,这些都是真的,但千万不要宣传成灵芝是白娘娘给许仙起死回生的灵芝,因为谁不会死啊?夸大产品到最後只有百害而无一利。」
对现场提问的回答
〔提问1〕厂商都说灵芝孢子粉和孢油很有效,但为何有些学术单位研究的结果却非如此?孢子粉和孢子油如果没有三萜类,那为何产品会有效?
答:不同单位使用的研究原料不同,所以做出来的结果不能一概而论。目前已取得国家核可的相关产品,它们是由符合国家标准的正规机构做出来的,那些生物活性,如果没有相反的证据,我们不能说它没效。
孢子油丶孢子粉的功效可能和甾醇类有关,所以我应该另外针对这两种原料订定适合它们的质量控制指标。
〔提问2〕灵芝孢子是否破壁後的活性比较好,三萜类较高?
答:从我们过去做的细胞实验来看,灵芝孢子破壁後的活性确实比较好,但和三萜类无关。灵芝孢子是双层细胞壁,用水丶硷丶酸都打不破,若不破壁它的有效成分是否能出来,确实有疑虑。但破了壁之後孢子里的油脂会氧化,必须加抗氧化剂防止它氧化,这是所有食用油都会添加的东西。
〔提问3〕听说灵芝孢子未破壁的醇提率只有60%,但破壁後的醇提率可达90%?
答:这部分我们过去没有研究,所以无法给答案。除了孢子破不破壁是否影响提取率之外,大家很关心的,孢子的轻重(饱满度)是否和孢子的成熟度有关?以後有机会我们都会进一步了解。
〔提问4〕灵芝论文有上万篇,其中有多少研究是免疫学专家做的?
答:北京大学林志彬教授对於灵芝和免疫的关系做了大量的研究工作;我大学和硕士念化学,博士才学免疫,只能算是「偏行」。投入这行业的免疫学专家确实不多,所以我们需要这方面的专业人士参与。同时就像林志彬教授强调的,现在的临床研究实在太少了,很难说服老外,这也是灵芝学术界和产业界未来必须加强的部分。

今年八月,〈2015年第一届中国灵芝大会〉在浙江省龙泉市召开,
上海市农业科学院食用菌研究所张劲松所长受邀於开幕演讲,演讲主题是
「灵芝产业转型需要解决的重要问题」,现场与会者无不聚神凝听。(摄影/吴亭瑶)
延伸阅读
1.〔2015第一届中国灵芝大会系列报导〕张树庭教授演讲:
灵芝产品面临的问题和挑战──从「为什麽灵芝产品里有淀粉」谈起!
2. 〔2015第一届中国灵芝大会 系列报导〕号称史上最严的新版《中华人民共和国食品安全法》
将於10月1日施行,哪些要求和灵芝类产品有关?
3. 为解决问题而开的「第一届中国灵芝大会」在龙泉圆满落幕!
中国灵芝产业能否华丽转身,端视灵芝企业实践多少科研成果(上)
4. 为解决问题而开的「第一届中国灵芝大会」在龙泉圆满落幕!
中国灵芝产业能否华丽转身,端视灵芝企业实践多少科研成果(下)